關鍵詞搜索:
PM2.5標準品,SRM1648a城市顆粒物,05/112低分子量肝素,細菌內毒素USP標準品
CRM-PTX2 蛤毒素-2校準溶液的穩定性
CRM-PTX2(批號20021127)在甲醇中的短期和長期穩定性先前采用經典穩定性研究設計進行評估。以相同的方式制備CRM-PTX2-b,并且合理地假設了等效的穩定性。在30天的時間內,在+20°C以下的溫度下,未觀察到PTX2降解,表明短期內具有良好的穩定性。然而,在+37℃下30天后,PTX2的降解變得顯著。針對每個儲存溫度計算1年長期穩定性數據的回歸,并測試其顯著性。在+4°C以下的所有條件下,回歸均不顯著。使用-12 C斜率的標準誤差確定與長期穩定性評估相關的不確定性(見不確定性部分)。長期穩定性(uns)導致的相對不確定度為0.77%。CRM-PTX2-b的建議存儲溫度為-12℃。
CRM-PTX2 蛤毒素-2校準溶液的不確定性
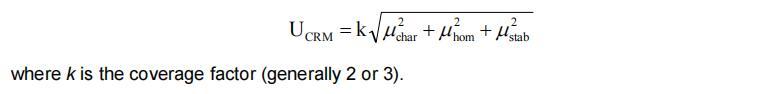
CRM-PTX2-b的總體不確定度估計值(Ucew)包括與批次表征(uchar)、瓶間變化(Jhom)和長期貯存穩定性(Jsta)相關的不確定度[6J。這些成分可根據以下內容進行組合和擴展:

考慮并量化了與CRM-PTX2-b表征相關的所有合理誤差源。通過qNMR和LC-MS對CRM-PTX2-b進行定量分析,得到0.065μ。對CRM-PTX2譜帶進行了廣泛的同質性研究,未檢測到明顯的異質性。當用umolL表示時,長期穩定性(Jstab)的不確定度被確定為0.039μ。將所有這些不確定源與覆蓋因子2相結合,以估算與CRM-PTX2-b認證值相關的最終不確定度,如表2所示。

東莞市百順生物科技有限公司專業提供CRM-PTX2 蛤毒素-2校準溶液,歡迎咨詢定購!